The Object Inheritance Model
TADS 3 is at its core an object-oriented programming language. One of the pillars of object-oriented programming is the concept of inheritance.
Inheritance comes into play whenever you create a subclass of another class. The point of subclassing is that you can take an abstract, general-purpose class - Furniture, say - and create another class that represents a narrow, specialized slice of the broader class - Chair, say. The specialized class is a subclass of the general class in that it represents a subset of the things that the general class can represent: all chairs are furniture, but furniture includes lots of things that aren't chairs, like tables and cabinets and lamps. You can repeat this process to make finer and finer subdivisions at each level: Chairs come in Armchair and Sofa and Rocking varieties, Sofas come in Sleeper and Loveseat subclasses, and so on.
Once we've started sorting objects into classes and subclasses this way, the basic idea of inheritance becomes fairly intuitive. Since all chairs are furniture, we'd expect that a chair would exhibit all of the basic behaviors and attributes of furniture in general. That, in a nutshell, is what we mean by inheritance: a chair inherits its basic framework of behaviors and attributes from the more general furniture category.
Inheritance is such a powerful concept because it not only fits so well with our intuition, but also brings concrete benefits to our programming model. OOP lets us declare in the programming language that Chair is a subclass of Furniture, and with this information, the compiler automatically knows that everything we've defined for the Furniture class automatically applies to the Chair class as well. This is the concrete meaning of inheritance in OOP, the huge benefit to the programmer is that we're saved the trouble of re-typing all of the Furniture code on our new Chair class. We simply tell the compiler that Chair is a subclass of Furniture, and the compiler takes care of the rest.
Now, if that were all there were to it, there wouldn't be much point in defining a more specialized category like "chair." The whole point of defining specializations - subclasses - is that a subclass is mostly like its general class, but not entirely A chair is mostly like any other furniture, but has some particular features that make it noticeably different. That's what we mean when we say that all chairs are furniture but not all furniture is chairs.
This is where the concept of "overriding" comes from. By default, Chair inherits everything defined for Furniture. It can add things as well, things that just aren't relevant to furniture in general: maybe we'd add cushion thickness and back-rest height. But just as importantly, we might decide that there are certain attributes or behaviors that we've defined on the Furniture class that need to be changed for Chair. Maybe we've said that sitting on a piece of furniture isn't allowed in general; we'd obviously want to change this for a chair. In other words, Chair would override the "sitting is allowed" behavior that it would otherwise inherit from the base class.
Multiple Inheritance
It's fairly easy to see how inheritance works when we're talking about simple subsets like Chair inheriting from Furniture. There's another situation that's a bit more complicated, though.
The good thing about OOP and subclassing and inheritance is that it's a pretty good match to the way our brains naturally work. We're all OO programmers practically from birth because we naturally see the world in categories and subcategories. The only snag is that all of this wonderful inbred OOP ability is merely an artifact of human cognition: it's the way we see the world, not the way the world really is. The real world doesn't break up so neatly into simple, non-overlapping sets of classes and subclasses and sub-sub-classes. In the real world, a chair is a piece of furniture, but it also might be a Thing Made of Wood, and a Thing You Can Stand On, and Something You Can Disassemble, a Thing You Can Throw, a Doorstop, and endless others. When it comes right down to it, an object's "class" isn't some kind of eternal, abstract, permanent feature of the object; it's just a feature of the way we happen to be looking at it at the moment.
OOP languages don't try to address this "real world" problem. After all, OOP isn't a theory of the world, it's just a way of organizing data structures and programming code to make complexity more manageable; looked at that way, OOP has proven its worth.
Even so, "single-inheritance" models are often too restrictive for real applications. Interactive Fiction is particularly difficult to fit into a single-inheritance model because it revolves so much around simulating real-world scenarios. To help ease the limitations of the single-inheritance model, some OOP languages - including TADS 3 - include the concept of Multiple Inheritance.
Multiple inheritance is, as you might guess from the name, the ability to say that a class derives from more than base class. For example, in our Chair example, we might define Chair as inheriting from Furniture and from another class called Platform that represents things a person can sit or stand or lie upon. (Note that we're making these up for the purposes of this chapter only - in particular, these classes don't have anything to do with the adv3 library's class tree.)
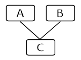
In the most basic case, multiple inheritance is relatively straightforward. We define a subclass that's based on two superclasses; the new subclass simply inherits the combination of the behaviors and attributes from the two base classes. Here's a diagram showing a new subclass, C, based on two superclasses, A and B:

(We could also base a subclass on three or more base classes, not just two. The principles and rules for three or more superclasses are all the same as for two, though, so we'll stick to two superclasses in our examples for clarity.)
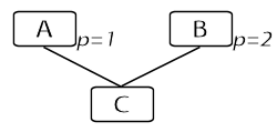
In the simple case, C simply inherits everything that A defines plus everything that B defines. Things start to get complicated, though, when there are inheritance "conflicts" between the two base classes. What happens when our two base classes both define the same property p? In other words, in the diagram above, if A.p=1, and B.p=2, what value of p does C inherit? Here's a picture of what we mean:

Our new notation in the diagram shows property definitions - that little p=1 next to A means that A defines property p with the value 1. So now we have A.p=1 and B.p=2. So, the question is, what value of p does C inherit?
There are a few different theoretical approaches to resolving inheritance conflicts of this kind. One approach is to consider such conflicts to be errors. In this view, such a conflict is a sign of a basic design flaw in the class hierarchy. Some OOP languages take this approach, and simply count such a conflict as a compilation error. To fix the error, the programmer must delete p from either A or B, or restructure C's superclass list so that it doesn't include both A and B. Some languages that take this "strict" approach also let you resolve the conflict by explicitly overriding p in C - that eliminates the conflict by letting the programmer state exactly what she intended.
TADS 3 takes a more permissive view: it considers these conflicts perfectly legal, and to resolve them, it defines a "priority" rule to determine which of the conflicting properties "wins" in a dispute.
The basic TADS rule for multiple inheritance priority is that the leftmost superclass takes precedence over other superclasses. By leftmost, we mean the one defined earliest in the superclass list. The TADS syntax for defining the object C in the diagram above would be like this:
class C: A, B // C's own overrides go here... ;
In this definition, A is the leftmost superclass of C, since it appears earliest in the list of superclasses in the class statement that defines C. So, in case of a conflict between A and B, A wins: C inherits p from A.
Of course, none of this is an issue if C also defines p, because in that case we'd have a simple case of overriding. C.p would override both A.p and B.p, since a subclass definition always overrides all superclass definitions for the same property.
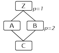
Unfortunately, there's one more complication that we have to take into account, which is this: what if A and B themselves share a common base class? Consider this diagram:

We now have A as a subclass of Z, B as a sublass of Z, and C as a subclass of A and B. In terms of TADS definitions, this would look like so:
class Z: object; class A: Z; class B: Z; class C: A, B;
If we still have A and B defining p, this doesn't change anything - C still inherits p from A because of the "leftmost superclass" rule. But now consider this bizarre situation:

Remember our notation: that little p=1 next to Z means that Z defines property p with the value 1. So we now have Z.p=1 and B.p=2. The question once again is: what value of p does C inherit?
Using our "leftmost superclass" rule, we'd say that the value C inherits must be 1. If we forget about C for a moment, we can see that A clearly inherits p from Z - this much is obvious. So, given the "leftmost" rule, C must inherit A.p, which is 1.
But this is not what actually happens. In actuality, C inherits p from B, so if we evaluate C.p, we'll get 2 as the result. The reason is that there's another rule that supersedes the "leftmost superclass" rule.
The superseding rule is the "explicit override" rule. This rule states that a class that explicitly overrides a given property in a base class also overrides that same base class property in a multiple inheritance situation. In our example, B.p explicitly overrides Z.p; this means that B.p must take precedence over Z.p in this multiple inheritance situation, so C must inherit p from B before it can inherit the same property from Z. Thus, B.p takes precedence.
Rationale for the "explicit override" rule
This isn't just an arbitrary technical rule. This is actually a practical rule designed to make multiple inheritance behave as intuitively as possible in these "conflict" situations.
The point of the rule is this: When the programmer created class B, she specifically and consciously decided that B's version of p was special - she actually wrote out p's definition in B by hand, after all. The programmer personally decided that the version of p inherited from Z was wrong for B and needed to be overridden. In contrast, the programmer who created class C (who might even be a different programmer - A, B, and Z might be classes from a library, and class C is something we've created in our game program) didn't say anything about p. The programmer who wrote class C might not even have thought about p - he just knows that he wants to combine the general functionality inherited from A and B, and hasn't necessarily thought about every individual property and method. The same holds for class A - the programmer who wrote class A never said anything about p, so might not even have thought about it when writing A; p was just inherited by default. That's a big part of OOP's appeal, after all: that we can use classes in our program without having to know every detail about their internal structures.
So when it comes to deciding on which p to inherit in class C, which seems more important: the first programmer's explicit decision to override Z's version - and thus A's version - of p in class B, or the second programmer's indication that A generally comes before B in priority order?
TADS 3's answer is that the first programmer's decision that B.p overrides Z.p takes precedence.
The multiple inheritance rules in summary
Here's a summary of the multiple inheritance rules: a class inherits a property from the leftmost superclass that defines or inherits the property, except that if a superclass further to the right itself overrides the actual source of that first property, the one to the right takes precedence.
Stated as an algorithm:
- If the object in question directly defines the property, that's the definition to use, so we're done; otherwise, proceed.
- Starting at the leftmost superclass, visit each superclass:
- If the current superclass defines the property directly or
inherits the property from one of its superclasses, then:
- Note the actual defining object of the property (if the superclass directly defines the property, the defining object is the superclass, otherwise it's the class that the superclass inherits the property from);
- If we haven't yet found a match, remember this as the new match; otherwise, if this defining object is a descendant (i.e., a subclass, or a subclass of a subclass, etc) of the previous match's defining object, remember this as the new match; otherwise forget the current match.
- In any case, keep going.
- In any case, keep going.
- If the current superclass defines the property directly or
inherits the property from one of its superclasses, then:
- We're done: the last match from the loop is the one to use.
Where inherited goes next
The rules above for inheritance and multiple inheritance explain how to find the definition of a property to use when evaluating an initial property evaluation - a direct property evaluation or a call to a method, as in obj.p. But there's more to inheritance than this, thanks to the inherited operator.
The inherited operator's job is to continue the traversal of the inheritance tree. An initial property evaluation reaches the most specific override of the property, but then inherited can be used to call the next-most specific version of the property. This extends the basic benefits of inheritance to a much finer granularity: not only can we inherit whole properties and methods from base classes, but we can actually extend base class methods by incorporating the originals into our code even when we override them.
The rules for continuing an inheritance tree traversal with inherited are actually very simple. inherited just goes to the instance of the method that the current instance overrides. In other words, it's the instance that would have been called if the current instance had never been defined.
It's worth noting that there's always a single linear "inheritance" ordering of all of the instances of a given method in a given object's class tree. For example, take our example from earlier:

In C's hierarchy, the inheritance order for p is [B, Z] - in other words, C inherit p first from B, then from Z. We know from the multiple inheritance rules that B.p comes first in the inheritance order; and if we removed B.p from the picture, we can see that we'd have gone to Z.p first.
The reason we point out this linear ordering is that the "tree" diagrams can often make it seem as though the inheritance is all fuzzy and non-deterministic, as though there were all sorts of paths through the tree. But that's not really the case: there's always a unique linear ordering for the inheritance order. Given a class tree, you can always work out exactly the order in which inherited will traverse the classes.
There's one other thing to note. The traversal order depends on the final subclass we're talking about - in other words, it depends on the actual object we targeted in the initial method call. Each final subclass has its own tree. The position of a given superclass in the hierarchy might vary from one - we mixed A and B as superclasses in our example above, but some other class might mix A and C as superclasses, or might mix A and B and some other class X. Another object might use B and A as superclasses rather than A and B, making B take precedence over A in that case. This means that we can't look at a given method and determine in isolation where its inherited calls will go - it all depends on the full class tree of the final object that's involved.